Introduction to Ion-selective Measurement
Theory
Ion-selective electrodes (ISE) consist of an ion-specific half-cell and a reference half-cell. The ion-specific cell gives a potential against the reference cell depending on the specific ion concentration. When the specific ion concentration (the sample or an ion standard) changes, the potential changes as well. The relationship between the potential measured with the ISE and the ion concentration in the measured solution is expressed using the Nernst equation:
[1]
E = measured potential (mV) between the ion selective and the reference electrode
Eo = measured potential (mV) between the ion selective and the reference electrode at a C = 1 concentration
R = Universal gas constant (R = 8.314 J mol-1 K-1)
T = Temperature in K (Kelvin), with T (K) = 273.15 + t °C if t is the temperature of the measured solution (°C)
F = Faraday constant (96485 C mol-1)
n = electrical charge of the ion
C = concentration of ion to be measured
C0 = detection limit
Since R and F are constants, they will not change. The electrical charge of the ion to be measured is also known. As the sample or standard temperature is a variable of the Nernst equation, it is essential to continuously record and monitor the temperature while measuring.
Therefore the equation [1] can be simplified to:
[2]
where S = is called the slope of the ISE.
| Example of ion | n (electrical charge of the ion) | S (t = 25°C) |
|---|---|---|
| Copper (Cu2+) | +2 | -29.58 |
| Sodium (Na+), Potassium (K+) | +1 | -59.16 |
| Fluoride (F–), Chloride (Cl–) | -1 | +59.16 |
| Sulphide (S2-) | -2 | +29.58 |
As known from pH measurement and calibration, the slope S is an indicator of ISE performance. If the slope changes over time it may mean that it is necessary to implement a preventative maintenance cycle to clean the ion-selective part. This may mean refilling the specific inner solution, replacing the membrane, or in the worst case replacing the entire ISE because the electrode is too old. Typically, an ISE will last one to two years, depending on usage.
In order to characterize ISE behavior, it is necessary to prepare standard solutions of the specific ion in terms of logarithmic concentration values, (e.g. 0.01 / 0.1 / 1.0 / 10 / 100 / 1000 mg/L standards). When all standard solutions are measured, the ISE characteristic can be displayed by plotting concentration vs. potential. However, it may also be useful to either plot the concentrations on a logarithmic axis or easier to calculate the log (C), which using the above example is a simple exercise (-2, -1, 0, +1, +2, +3).
| -log C | mV | mg-l Na+ |
|---|---|---|
| 3 | -156.5 | 0.001 |
| 2 | -156.4 | 0.01 |
| 1 | -148.2 | 0.1 |
| 0 | -110.0 | 1 |
| -1 | -51.8 | 10 |
| -2 | 6.4 | 100 |
| -3 | 64.5 | 1000 |

The slope of the curve decreases with decreasing Na+ concentrations. While the linear section (1.4mg/L up to 1000 mg/L) shows a slope of -58.2 mV/pC at 20°C, the lower concentrations, shown in the flat (left) part of the curve, show a slope (-0.2 mV/pC at 0.001 mg/L) of almost zero. That means the ISE calibration curve has a non-linear section of the curve. When measuring low Na+ concentrations it must be considered that the differentiation of low Na+ values from other values is more and more difficult to detect. A slope difference from one standard to another of less than 30 mV/pC (for a monovalent ion) leads to less reliable and reproducible measurements.
Design of Ion-selective Electrodes
Solid state electrodes: In this case, the ion selective part is a solid substance in direct contact with the solution to be measured. The main characteristic of a solid state electrode is that the sensing material is almost insoluble in water, meaning a very small solubility product. For instance, the most commonly used solid crystal is Lanthanium fluoride (LaF3) to detect Fluoride ions.
The equilibrium in aqueous solutions is:
The solid crystal is in contact with the aqueous solution forming a small number of La3+ ions and F– and producing a certain potential. If there are F– ions present in the sample solution, then the equilibrium changes and gives a different potential. So, it is possible to detect specific F– concentrations.
PVC membrane electrodes: There are many different types of membrane electrodes. Usually the PVC material is polymerized with an organic solvent, including the specific organic substance, to react on the ions being detected by changing the potential against a reference electrode. Such membranes have to be maintained regularly, and may have a shorter useful life than solid state ISEs, depending on the usage. A common example is Calcium Ca2+ or Nitrate NO3–.
Gas-sensing electrodes: Although these ISEs are usually not categorized as ISE but as gas-detecting sensors, there are some gases which can also measure ions in solution. For instance ammonium can be measured by detecting the ammonia in solution since there is an equilibrium:
It is a fact that ammonium dominates in acidic solutions and ammonia gas dominates in alkaline solutions. Adjusting the pH of a solution allows detection of the specific form, ammonium or ammonia.
Preparation of Sodium Standard Solutions
Weigh exactly 2.542 g NaCl. Transfer it into a 1000 mL glass flask and fill with Deionized (DI) water up to the mark (solution A: 1000 mg/L Na+).
Pipette 10 mL of solution A into a 100 mL glass flask. Fill with DI water up to the mark (solution B: 100 mg/L Na+) and shake to mix the solutions.
Pipette 10 mL of solution B into a 100 mL glass flask. Fill with DI water up to the mark (solution C: 10 mg/L Na+).
Pipette 10 mL of solution C into a 100 mL glass flask. Fill with DI water up to the mark (solution D: 1 mg/L Na+).
Pipette 10 mL of solution D into a 100 mL glass flask. Fill with DI water up to the mark (solution E: 0.1 mg/L Na+).
Calibration – 2-points
Out of such a calibration with two standards the slope is calculated for a specific concentration / potential area. As long as the ion concentration of the sample lies within this concentration range, a 2-point calibration is sufficient.

However, the difference of the concentrations of the standards used should be at least a factor of 10. For instance if the sample is expected to have 30-50 mg/L sodium, then a calibration with two standards of 10 mg/L and 100 mg/L is sufficient. Because of the temperature effect on the Nernst equation, a 2-point calibration and a sample measurement must be done close to the same temperature. A maximum deviation of 1°C is acceptable, although it affects the accuracy of the final result.
Calibration – Multi-points
Lastly, the multi-point calibration is used to determine where the ISE leaves the linear region of the curve and where the detection of low concentrations is limited.

Especially for low concentrations, the use of several standards is required to cover the full non-linear range. By using the non-linear calibration curve technique, the reliability and accuracy of the result is much higher, especially if samples are examined with a broad range of sodium ions.
Detection Limit
After recording the calibration curve, extraction of the detection limit of that ISE is recommended. This can be done graphically by adding one tangent (red line) to the upper linear part of the curve and one tangent to the lower linear part (almost parallel to the X-axis). The detection limit of the ISE is the point at which both tangents cross.
However, this detection limit applies to a concentration of a specific ion detected with a specific ISE. It depends on the characteristic of the sample and on the behavior of the ISE. The older the ISE, the less reliable the measurements of low concentrations will be. In addition, the temperature plays an important role. ISEs in samples at cold, hot or room temperature have different slopes.
Measurement
When performing ISE measurements for the first time with a new electrode it is normal for the stabilization time to be longer and the signal may be noisier than the user is accustomed to from previous measurements. If this is the case, the new ISE electrode should be conditioned in diluted standards for several hours before a fast and stable reading may be achieved.
Always use a stirrer to ensure consistent mixing of the sample solution and of the standards. This also helps the mass transportation of ions to the ion-selective surface of the electrode. Especially for low concentrations, stirring may shorten the stabilization time.
When using a magnetic stir plate, it may be necessary to insulate the sample beaker from the plate to isolate the heat generated from the stirrer. As mentioned above, changes in temperature can lead to result variations. The easiest way to insulate the beaker from the stirrer is to place a piece of cardboard or thin Styrofoam® between the beaker and the stir plate.
Selectivity of the Specific-ion Measurement
In the ISE introduction section of this paper, an assumption was made that an ISE electrode has a sensitive part specific to just one ion to be detected among other ions in the solution. This is not the case for most ISEs. Since the ion-selective part is sensitive to other ions which are similar in ion radius, charge and mobility, this sensitivity must be taken into account in the measurement of samples. It is possible that an excess of an interfering ion can lead to higher or lower concentrations of the measured ion.
The sodium ISE electrode is selective for Na+, but also for potassium K+ and lithium Li+. The selectivity constant for K+ is 0.001 and for Li+ is 0.01. What does that mean? A small selectivity constant of 0.001, for example, means that the interfering ion is adding 1/1000 of the potential measured in the solution compared to the main ion (Na+). With sodium, potassium in the same solution can cause a 1/1000 potential value like that of sodium, if both ions are present in the same concentration.
If potassium is 1000 times more highly concentrated than sodium, then the potential measured is almost 50/50 resulting from both ions, Na+ and K+. This of course leads to false results, where Na+ is assumed to be of a higher concentration than what is truly there.
In order to calculate the influence of an interfering ion against the final potential, an extended Nernst equation can be used. Nikolsky developed a specific equation, where all interfering ions can be considered.
[3]![]()
ni = electrical charge of the ion to be measured
ns = electrical charge of the interfering ion
ai = activity of ion to be measured
aj = activity of interfering ion
Kis = selectivity constant (ion to be measured // interfering ion)
Ionic Strength
All ions in a solution add to the total ionic strength. Ions are the only species to transport charge through the solution. If there are sufficient ions present, the ion transportation to the ion-selective surface is continuous. In the case of low ionic strength samples, like drinking water, boiler water, etc. the charge transportation through the solution is covered by only a few ions and the transportation of the measured ions is rare and random.
[4]
I = ionic strength
Ci = concentration of the ion i
Zi = charge of the ion i
To avoid such a random measurement, where diffusion potentials also create transport barriers, an Ionic Strength Adjustment (ISA) helps to reach sufficient ions in the solution without interfering with the searched-for ion. In the case of the Hach IntelliCAL™ Sodium ISE (ISENA381), the ISA is an ammonium salt like NH4Cl. Therefore, it is necessary to add an ISA to all standards and samples to create a minimum ionic strength in these solutions. In addition, some ISAs also contain a pH-buffer to create the optimal pH environment for the specific ion to be measured.

Measurement Mode
The most common ISE measuring technique is Direct Measurement. Therefore a calibration curve is necessary based on 2- or multi-points. Once the calibration has been performed and saved, the sample can be measured directly and the ion concentration can be calculated by the meter.
The Incremental Measurement mode must be used instead of Direct Measurement whenever the matrix of a sample changes the analytical sensitivity of the method. In other words, the slope of the working curve for standards made with distilled or DI water is different from the same working curve made up in a matrix that is close to the sample. Here several methods can be used, such as:
- Standard addition
- Double standard addition
- Standard subtraction
- Sample addition
- Sample subtraction
Standard Addition
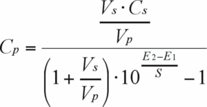
A commonly used method, the ISE is placed in the sample and the potential is recorded. Then a standard solution is added and again the potential is recorded. After entering the sample volume, standard volume, standard concentration into the ion meter, it calculates the sample concentration. This can also easily be done by spread sheet software such as Microsoft® Excel® by using the following equation:
[5]
Cp = concentration of the sample
Cs = concentration of the standard
Vp = volume of the sample
Vs = volume of the standard
E1 = potential of the sample before addition
E2 = potential of the sample after standard addition
S = slope at the sample and standard temperature
Sample Addition
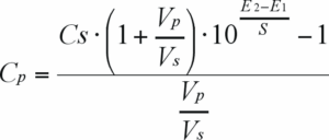
This method is as easy to perform as the Standard Addition method. First take a standard solution and measure the potential. Then add a defined volume of your sample and measure the potential again. Add the sample volume so that the standard concentration is increased by 2 to 10 times. Then the ion meter can calculate the searched concentration. Again there is a formula to calculate manually:
[6]
Cp = concentration of the sample
Cs = concentration of the standard
Vp = volume of the sample
Vs = volume of the standard
E1 = potential of the standard before addition
E2 = potential of the standard after sample addition
S = slope at the sample and standard temperature
Maintenance
Since the IntelliCAL Sodium ISE has a glass-sensing element, there is low risk of contamination inside the layer by other ions. However, the H+ and Li+ ions are small enough to enter the glass material and to exchange with Na+. Therefore, when not in use, keep the Na+ ISE in the special storage solution. Prior to first use, the IntelliCAL Sodium ISE must be conditioned in a 0.1 mol/L Na+ standard for several hours; refer to the manufacturer’s recommendations in the User Manual. The IntelliCAL Sodium ISE arrives delivered in such specialized standard solution.
Treat the Sodium ISE glass bulb similarly to a pH probe, including cleaning. Any abrasive polishing or scratches must be avoided, because this irreversibly damages the sensing surface. For oil/fat deposits on the glass bulb, soak in a solution with mild detergent or the Hach cleaning solution. Afterwards rinse the probe with DI water and recondition. Use only soft tissues to wipe the probe or sensing element, and never store the ISE probe dry or directly in DI water. This will make it necessary to condition before measurement or may even damage the probe.
Additional Resources
Determination of TOC (0-1000 ppm) and TNb (0-100 ppm) in Municipal Wastewater According to EN 1484, USEPA 415.1 and 9060A
go to HACH.COMWater Insights TOC is a valuable sum parameter in municipal wastewater (WW) monitoring. It can be used as a more cost-effective and non-toxic surrogate for COD analysis for process control which also avoids production of toxic waste. TOC is also suitable...
Reliable Monitoring of Adenosine Triphosphate (ATP) in Water Reuse and Reverse Osmosis Treatment
go to HACH.COMWater InsightsCase Study: Orange County Water District’s Groundwater Replenishment System (GWRS) Hach® EZ7300 Adenosine Triphosphate (ATP) Analyzer successfully used as a measurement surrogate for log removal value to monitor reverse osmosis...
Improving Taste and Odor Issues with TOC Monitoring
go to HACH.COMWater InsightsProblem Customers of the Desoto Parish Water Works drinking water facility complained about taste and odor issues in finished water. Organic matter, like bacteria and algae, can be a key contributor to taste and odor in drinking water....
Privacy Policy | Cookie Policy | Cookie Settings | Do Not Sell or Share My Data
©Hach All rights reserved.
